首页
English
您想去哪里?
光明图片
我要投稿
时政
国际
时评
理论
文化
科技
教育
经济
生活
法治
军事
卫生
健康
女人
文娱
电视
图片
科普
光明报系
更多>>
报 纸
杂 志
考试
< 上一期
下一期 >
数字报检索
返回目录
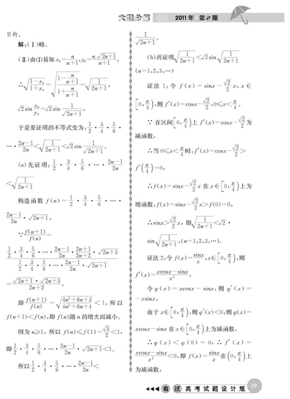
一道不等式证明题的多解
《考试》
返回目录
光明日报
光明日报(1998.01 - 2009.12)
中华读书报
中华读书报(1998.01 - 2010.08)
文摘报
文摘报(1998.01 - 2010.08)
新天地
出版社
考试
博览群书
博览群书(1998.01-2009.08)
书摘
书摘(1998.01-2009.08)
日
一
二
三
四
五
六
关闭
光明日报社概况
|
关于光明网
|
报网动态
|
联系我们
|
法律声明
|
光明网邮箱
|
网站地图
光明日报版权所有